道路中边桩坐标计算程序

 

道路中边桩坐标计算程序

道路中边桩坐标计算程序

道路中边桩坐标计算程序

道路中边桩坐标计算程序

道路中边桩坐标计算程序

道路中边桩坐标计算程序.doc下载

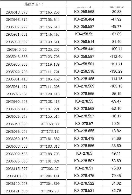
道路中边桩坐标计算程序

道路中边桩坐标计算程序

道路中边桩坐标计算程序

道路中边桩坐标计算程序

道路中边桩坐标计算程序

道路中边桩坐标计算程序

第11 / 18页

道路中边桩坐标计算程序

道路中边桩坐标计算程序

道路中边桩坐标计算程序

道路中边桩坐标计算程序

第15 / 18页

道路中边桩坐标计算程序

道路中边桩坐标计算程序

道路中边桩坐标计算程序

久久建筑网m.kkreddy.com提供大量:建筑图纸、施工方案、工程书籍、建筑论文、合同表格、标准规范、CAD图纸等内容。


TOP最近更新内容

    宋鸿兵语录 ANSYS工程结构数值分析命令查询表 郭硕鸿 电动力学 系统防雷方案 语言学概论笔记 德隆的资本运作与行业整合 山东省威海市2011届高三模拟考试(数学文) 刑法的二十个钻石考点 【阮齐林】 PS技术 在学校里 学三年 也学不到这么多x 建筑装饰装修工程施工质量验收规范(GB5021 富士康科技公司基础IE培训--现场改善.ppt 南京理工大学考研计算机复试上机题目 DLT 1080.4-2010 电力企业应用集成 配电管 梁凯恩 ——《福布斯导师商学院》精华 2013 3月二级c无纸化题库